近日,素人AV
康国政教授团队在水凝胶多孔弹性断裂领域取得重要进展,相关工作以“Poroelastic fracture of polyacrylamide hydrogels: Enhanced crack tip swelling driven by chain scission”为题发表在固体力学旗舰期刊《Journal of the Mechanics and Physics of Solids》。素人AV
2022级博士研究生张栖方为第一作者,刘俊杰老师和康国政教授为通讯作者,合作者还包括浙江大学曲绍兴教授、素人AV
阚前华教授等(图1)。

图1. 论文素人AV
水凝胶材料由亲水的高分子网络和水分所组成,具有柔软、可拉伸、高含水、刺激响应等特征,能被应用于柔性智能器件、生物医学等领域。水凝胶中的水分含量可达90 %质量比以上,且可在化学势的驱动下在水凝胶内部和水凝胶与外部环境间运动,进而影响水凝胶材料的大变形和断裂等力学行为。
本工作以具有超弹和多孔弹性响应的化学交联单网络聚丙烯酰胺(PAAm)水凝胶为研究对象,从实验上揭示了未被报到的PAAm水凝胶在油浴(限制水凝胶与外部环境间的水分迁移)中的率相关断裂行为,以及复现了已被报到的PAAm水凝胶在水浴中的率相关断裂行为(图2)。

图2. PAAm水凝胶的速率依赖性断裂:(a)油浴;(b)水浴
为了解释实验观测结果背后的力学机理,本文提出了一种针对水凝胶多孔弹性行为所导致的率相关断裂的机制:裂尖应力集中诱导网络结构演化,网络结构演化进一步促进裂尖溶胀,裂尖溶胀导致其抵抗裂纹扩展能力降低(材料韧性降低)(图3)。

图3. 内部水迁移诱导的水凝胶速率依赖性断裂机制示意图
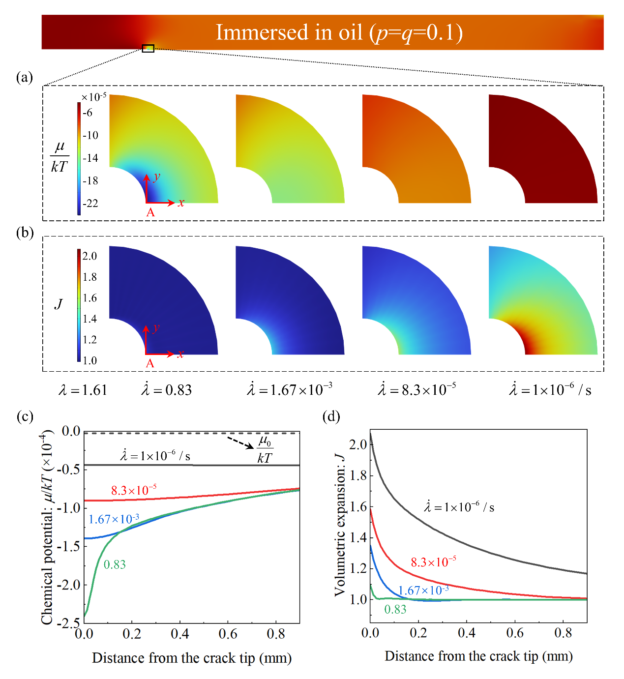
针对该机制,提出了一种耦合水凝胶大变形-损伤-扩散的本构模型,并进行了有限元模拟,分析了在不同加载速率下裂纹尖端变形场、溶胀场、化学势场的变化规律。模拟结果发现,由于裂纹尖端的应力集中与显著损伤,此区域化学势显著低于其他区域,这导致大量水分子往裂纹尖端迁移(图4)。拉伸率越低,水分子迁移越多,裂纹尖端溶胀越显著,使水凝胶断裂韧性显著降低,从而解释了实验观测现象(图5)。

图4. 油环境中裂纹尖端的化学势场与溶胀场分布

图5. 归一化断裂韧性的实验与预测结果
该研究受到了国家自然科学基金(Nos. 12102370,U22A20255)和素人AV
新型跨学科培养基金项目(Nos. 2682022KJ047,2682023JX005)的支持。
原文链接://www.sciencedirect.com/science/article/pii/S0022509624004204